未完结
因为直接看了第7章,第4章还没看,需要先回去看一下4.3.1的BRDF、BTDF、BSSRDF

BXDF框架
BSDF
BRDF
很熟悉了,只定义了反射如何进行

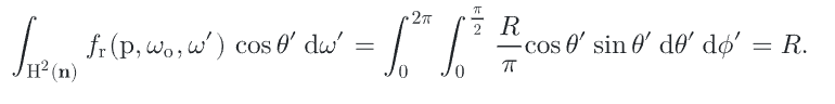
Hemispherical–Directional Reflectance(半球–方向反射率)
从BRDF延申出的一个概念,把光照设置为常量1,这时候的渲染方程就变成了这个东西
它的意义是不关心光照,不关心各个方向的Radiance(均匀分布的光照),只关心材质本身往W0方向的Radiance

它可以用来检查物理守恒,物理正确的材质必须满足:

hemispherical–hemispherical reflectance(半球–半球反射率)
描述了一个面在所有入射方向上平均收到光照后,向所有方向反射的平均能量比例
这不就是把上一个半球–方向反射率求了一个半球积分后的平均么

上述两个东西,感觉是用在表达材质的反射效果的一个指标,并不是渲染需要的东西,写论文用的东西?
BTDF
T 表示transmittance ,BTDF用于描述透射的分布
这里特别提到BTDF并没有reciprocity 的特性,就是不能反着来
BTDF和BRDF被统称为BSDF,因为他们都可以表达为
最终BSDF作用到渲染中为(注意这里绝对值符号是PBRT自己加的,他们意思是并不会修改模型的法线朝向模型外侧,可能有他们的考虑)


整了半天4.3.1 原来并没有介绍具体的BSDF模型,只是引入了概念
BSSRDF
今天属于是理清楚了 scattering是各种各样的改变光方向的行为的统称,并不是额外的效果。。。
折射是透射的一种,透射是更上层的概念,透射就是进入某种介质的行为。。。
bidirectional scattering surface reflectance distribution function (BSSRDF) 描述的是此表面反射的理论框架
参数多了一个Pi,也就是Pi对着色点P0的贡献比例,比BSDF多一个维度,BSDF只考虑当前着色点

看这张图能看出光先进入物体内部,不断散射后从着色点穿出后到达摄像机

计算过程需要遍历每一个Pi,BSSDF定义这个Pi点的贡献值
内层积分定义一个Pi点的渲染贡献,外层积分累积所有Pi点

下图展示了(a) 漫反射 (b)高光反射 (c) 镜面反射(接近)(d)逆反射的Lobe

另外也理解了各项同性和异性, 同性就是指如上图的摄像机位置,如果绕着法线进行旋转,得到的结果应该是一致的
基础理论
为可见光的波长(量级为米级)远小于渲染场景中物体的尺寸(毫米到米级),因此波动相关的现象通常不会在渲染图像中体现.
但要深入理解光线撞击表面时的行为,就需要借助波动光学的理论,而且在几何光学的模拟框架中融入波动光学的结论,已经成为计算机图形学的常用设计模式。
当光线照射到物体表面时,会激发材料原子外层的电子,使其发生快速振荡;振荡的电荷会产生次级电场振荡,这些次级振荡会发生相长干涉和相消干涉,这就是原子反射光线的核心机制。而干涉的具体表现,则由原子的种类和原子间的结合方式决定。
材料种类
电介质(Dielectrics)
这是一大类电绝缘体,包括玻璃、水、矿物油、空气等气态、液态、固态物质。这类材料中,电子与原子的结合非常牢固,不会自由移动。
导体(Conductors)
包括金属、合金以及类金属(如石墨)。这类材料的原子晶格中存在自由电子,入射电磁波激发的电子振荡可以让电子在较大范围内移动;同时,电子在晶格中移动时会以热量的形式耗散部分入射能量,导致光线在深入材料的过程中被快速吸收。
关键特性:光线通常在材料表面0.1 米的深度内被完全吸收,只有极薄的金属薄膜才能透射可观的光线。
半导体(Semiconductors)
如硅、锗,兼具电介质和导体的特性。例如硅在可见光波段表现出金属的特性,但在红外波段是透明的,因此可用于红外相机的光学元件。
PBRT后面介绍了IOR(折射率)的原理就是光速与在真空中的光速的比值,两种介质的折射率差值越大,分界面的反射效果越强。
反射定律
这张图解释了反射是如何计算的,分解成平行于法线和垂直于法线的两个向量后很容易计算

折射定律


经过一些推导最终折射的向量可以通过下面这个公式计算

折射需要有一个注意的地方:从折射率高进入折射率低(从水中看向空气)时,入射角度过大会导致折射算出来sin大于1了,此时发生的是全内反射,没有折射了

菲涅耳方程
上述的折射和反射是会同时发生的,对于导体来说,折射会迅速消失。
菲涅耳方程用来计算反射光的比例
这块东西解释了入射波可以分解为垂直(垂直于入射向量和法线组成的平面)和平行两个,单独进行建模。菲涅尔方程描述了给定已知振幅的入射波时,反射波振幅与入射波振幅之间的关系。(这些内容没必要特别细看)

电介质、导体和半导体均遵循相同的菲涅尔方程。
对于电介质,就按照上边的公式计算
对于导体,折射率之比变成用复数表示,然后各种解释,不太理解,看这里最终eta是一个复数,而不是简单的float比值,这种东西就不细看了

常见BXDF
完美模型
Diffuse Reflection(完美漫反射)
介绍了最简单的Lambertian model,完全均匀反射率的漫反射表面使用的模型
下图解释了为什么要除以/Pi。 因为这样才能保证使总反射能量=R(反射率,用RGB就是albedo)

Conductor BRDF(完美反射)
导体的BRDF依据两个观点:
- 镜面反射定律为每条光线分配特定的反射方向,菲涅耳方程则确定反射光的分布范围。
- 任何残余光线都会折射进入导体,并被迅速吸收转化为热能
所以光滑导体只考虑BRDF、采样只会采样反射方向、PDF=1
非常简单,对W0有贡献的点只有反射方向,所以不需要算积分了,F()是菲涅尔方程

计算积分时的采样函数不需要什么工具,而是直接找反射方向,然后用菲涅尔公式计算反射比值,返回对这个方向的采样结果,另外PDF直接取1即可

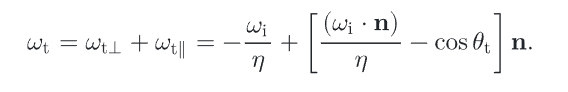
Dielectric BSDF(完美反射+完美折射)
不像导体,这里就必须考虑反射和折射了
设置采样方向的方法是根据入射光角度,计算菲涅耳方程的反射比例,然后去一个随机数来概率选择BRDF还是BTDF
- 等比例选择BRDF和BTDF

- 根据反射比例来选择BRDF和BTDF,效果明显变好了,因为少了很多低贡献的采样

采样方式代码,会根据概率选择BRDF和BTDF

此时的PDF为

如果选择反射,和导体的采样方向一样

如果选择折射

Thin Dielectric BSDF(薄电介质,比如玻璃(跳过))
先理解薄电介质的物理背景(为什么需要单独建模):
普通电介质(DielectricBxDF)只模拟 “单界面”(比如空气 - 玻璃),但实际的薄玻璃有两个平行界面(空气→玻璃→空气):
- 光线入射到第一层界面:一部分反射,一部分透射进入玻璃;
- 透射光到达第二层界面:一部分透射出去,一部分反射回玻璃内部;
- 反射回的光又会在第一层界面反射 / 透射…… 这个过程无限递归(如图 9.16);
- 薄电介质的核心假设:玻璃厚度极薄,光线的空间偏移可忽略,只需计算 “所有内部反射的总贡献”。

这个模型主要就是:多层内部反射的总反射率可以用几何级数求和简化(避免追踪无限次反射)
具体就先不看了!
Non-Symmetric Scattering and Refraction(跳过)
BTDF不能和BRDF一样反转使用,反转后必须修正系数才能保证物理正确。
这就不看了,看了一时半会也用不着

粗糙模型

微平面理论的关键洞见在于:无需对每个微平面进行显式几何建模,而是通过统计方法描述其集体行为
微面反射模型需考虑的三个重要几何效应。
(a)遮蔽效应:目标微面因被其他微面遮挡而不可见。
(b)阴影效应:类似地,光线无法抵达该微面。
(c)反射间效应:光线在到达观察者前会在微面间发生多次反射。

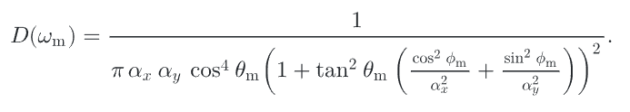
用法线分布来描述微表面,这里提到要让一小块微平面dA上方的面积投影下面积等于dA的面积

GGX法线分布

还有一种Beckmann法线分布

GGX的有点是拖尾,它的尾巴比较长,如下图橙色尾巴很长。而beckmannNDF在90°时已经衰减为非常接近0。如果把高出定义为高光,那backmannNDF高光周围会迅速衰减。而GGX会缓慢衰减,形成光晕的效果


后面介绍的过于理论了,感觉对目前帮助不大,先能进入行业再说,否则也没什么意义