Cameras
小孔成像
小孔成像是可以拍照的,但是没有景深效果
视场 Field of View (FOV)
传感器的高度与传感器和小孔之间的距离决定FOV的大小
通常都是固定传感器尺寸,控制焦距来控制FOV
不同焦距下的视场

曝光 Exposure
决定曝光的变量
在摄像机中决定曝光的变量
第一行是光圈、第二行是快门速度、第三行是IOS设置
IOS的介绍
光圈,N越大直径越小
快门
因为快门打开需要时间,那高速运动物体就会出问题

镜头
理想情况
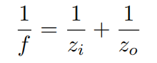
焦距物距像距的关系
景深就是像距没有落到感光元件上
这节主要是科普摄像机的东西
光场 Light Field
人眼前放一块幕布,投影这个图形,对人来说看到的是一样的

全光函数
用全光函数表示人能看到的东西
从简单来看
引入颜色
引入时间,变为电影
引入位置。全息电影
用七个维度衡量看到的所有东西,光场从这里开始
从任意一个位置看向任何一个位置,都可以从光场中提取光的信息
并不需要知道光场内是什么物体,只需要光场的信息,在盒子表面任何一点任何一个位置的信息

颜色 Color
