游戏引擎开发实践(降噪算法 SVGF)

降噪算法

高斯滤波器

很简单就是拿一个高斯滤波核遍历一遍像素

image-20251226210237582

高斯公式回顾一下

image-20251226212326240

双边滤波

这张图是高斯滤波的结果,它任何地方都会被均等的糊掉

image-20251226211129946

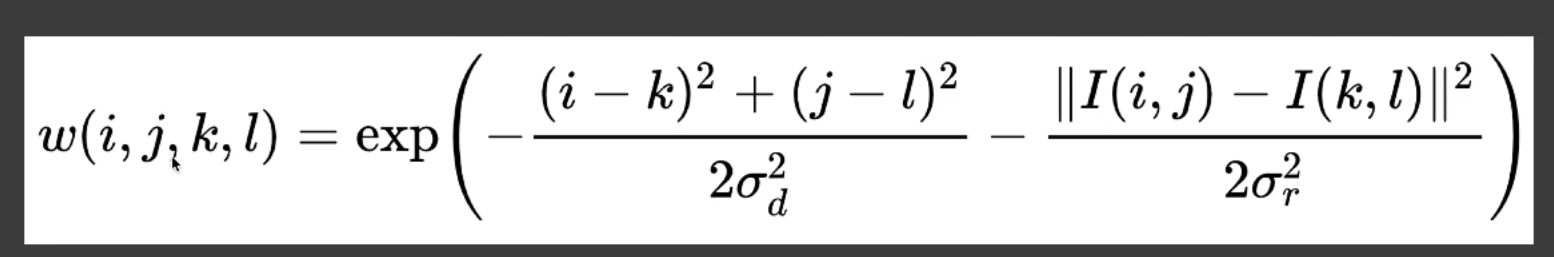
下面是双边滤波器的公式 (i,j)(k,l)两个点的之间的权重计算,前半部分就是高斯分布,后半部分(也是一个高斯分布,颜色越相近,越接近最高点 )表示:如果两个点颜色差距越大,权重越小

这个式子可以拆成两个指数函数的乘积,第二项如果颜色一致就=1,颜色不一致程度越大,越小,这样就达到了根据颜色差异调整权重的能力

image-20251226211622393

这个算法的问题是分不清是边界还是噪声

联合双边滤波

高斯滤波的标准:距离

双边滤波的标准:距离+颜色差异

联合双边滤波思想就是用更多的指标,比如GBuffer那些信息

比如量化深度差异,法线差异来指导权重,这里并没有说具体公式

image-20251226224151567

大滤波器优化

如果滤波核很大,如何进行优化

拆分2个Pass

水平一遍,竖直一遍,经典

再配合groupshared,减少ComputeShader的采样次数

image-20251227122248765

原理上来讲二维高斯就可以拆成两个一维高斯的乘积,卷积写成二重积分后,对于高斯滤波核来说可以拆成内部x积分完成后,再y积分

image-20251227122516063

但是复杂的滤波核不适用

小波变换卷积\空洞卷积 À-Trous wavelet

思路也是多个Pass进行卷积,比如5x5的核,每次都是5x5但是采样点的间距变了,变成$2^i$

复杂度从n2变成 卷积核的平方 * 卷积次数

image-20251227124039269

处理过亮像素

噪声中很亮的点如果做滤波,会变成一片亮

亮点探测:

image-20251227125333867

处理亮点

image-20251227125345255

SVGF (Spatiotemporal Variance-Guided Filter)时空方差引导滤波

SVGF就是融合了上边介绍的这些技术点,从时间和空间上都进行了滤波

3个因素引导的联合双边滤波

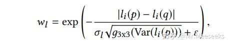
  1. 深度

它的深度指数衰减不仅仅是考虑空间深度,还会考虑法线投影上的深度大小(分母),这样建模是为了表达虽然空间上深度差异较大,但是xxxx(TODO:其实没懂为什么这样)

image-20251227131903431

  1. 法线

两个法线的点乘来控制,并用指数控制衰减速度

另外一点不要用法线贴图的数据,直接用模型原始法线

image-20251227132316899

  1. Luminance

颜色差异会被噪声干扰,比如一个点在阴影里,但是因为噪声,它变得特别亮,解决办法就是利用方差来指导,方差信息会先计算一次空间上的方差,再时域累积,再空间滤波

image-20251227133110629

SVGF解决不掉的问题是,场景没有变化也就是MotionVector没有数据,但是阴影一直在移动,这时候的阴影就会有噪声

image-20251227133445658再后来出现了A-SVGF,处理场景突变的延迟问题

RAE

利用神经网络来滤波,目前没兴趣

SVGF实践

参考文刀秋二大佬的https://zhuanlan.zhihu.com/p/28288053,与https://zhuanlan.zhihu.com/p/699706592

image-20251227153807337

Demodulate Albedo

第一步要存储SPP=1的情况下,直接光照和间接光照的结果,并且在存储时要/albedo来保存,过滤过后再乘回来,文刀秋二的解释是(纹理的细节并不会因为Filter的强度过于大而丢失掉)目前不太理解,先做出来再说。 另外这样做的前提应该是当前场景是Diffuse的

这张(右侧)表示直接光照/albedo

image-20251227153912899

这张(右侧)表示间接光照/albedo

image-20251227153951133

Reconstruction Filter

img

先实现空洞滤波

 1
 2
 3
 4
 5
 6
 7
 8
 9
10
11
12
13
14
15
16
17
18
19
20
21
22
23
24
25
26
27
28
29
30
31
32
33
34
35
36
37
38
39
40
41
42
43
44
45
46
47
#version 450 core
#include "../common/common.glsl"
#include "../common/math.glsl"
#ifdef COMPUTE_SHADER
layout(set = 1, binding = 0, rgba32f) uniform image2D OUT_COLOR;
layout(set = 1, binding = 1, rgba32f) uniform image2D IN_COLOR;
layout(set = 1,binding = 2, rgba32f) uniform image2D velocityTexture;
layout(push_constant) uniform Uniforms
{
    int curPassIndex; // 当前 Atrous pass 索引
};

layout(local_size_x = 16, local_size_y = 16, local_size_z = 1) in;

void main(){
    ivec2 invocID = ivec2(gl_GlobalInvocationID.xy);
    ivec2 imgSize = ivec2(imageSize(OUT_COLOR));
    if (invocID.x >= imgSize.x || invocID.y >= imgSize.y) 
        return;

    vec3 colorSum = vec3(0.0);
    float weightSum = 0.0;


    // 5x5 Atrous 核心 做了空洞滤波,相当于64*64的卷积核
    int curStep = 1 << curPassIndex;
    for (int dy = -2; dy <= 2; ++dy) {
        for (int dx = -2; dx <= 2; ++dx) {
            ivec2 samplePos = invocID + ivec2(dx, dy) * curStep;

            // 边界检查
            samplePos = clamp(samplePos, ivec2(0), imgSize - 1);

            vec3 sampleColor = imageLoad(IN_COLOR, samplePos).xyz;

            // Atrous 权重,这里先用 1.0,之后可以换成高斯或 bilateral 权重
            float weight = 1.0;

            colorSum += sampleColor * weight;
            weightSum += weight;
        }
    }

    vec3 result = colorSum / weightSum;
    imageStore(OUT_COLOR, invocID, vec4(result, 1.0));
}
#endif
  1
  2
  3
  4
  5
  6
  7
  8
  9
 10
 11
 12
 13
 14
 15
 16
 17
 18
 19
 20
 21
 22
 23
 24
 25
 26
 27
 28
 29
 30
 31
 32
 33
 34
 35
 36
 37
 38
 39
 40
 41
 42
 43
 44
 45
 46
 47
 48
 49
 50
 51
 52
 53
 54
 55
 56
 57
 58
 59
 60
 61
 62
 63
 64
 65
 66
 67
 68
 69
 70
 71
 72
 73
 74
 75
 76
 77
 78
 79
 80
 81
 82
 83
 84
 85
 86
 87
 88
 89
 90
 91
 92
 93
 94
 95
 96
 97
 98
 99
100
101
102
103
#include "hzpch.h"
#include "SVGFPass.h"
#include "Hazel/Core/Application.h"
#include "Hazel/Scene/SceneManager.h"
#include "Hazel/Renderer/RenderResource/RenderResourceManager.h"
#include "Hazel/Renderer/RenderResource/PipelineCache.h"
#include <Hazel/Renderer/RenderResource/Shader.h>
namespace GameEngine {
	void SVGFPass::Init()
	{
		m_Shader = std::make_shared<Shader>("postprocess/SVGF", SHADER_FREQUENCY_COMPUTE)->GetRHIShader();
		RHIRootSignatureInfo info = {};
		info.AddEntryFromReflect(m_Shader);
		info.AddEntry(RENDER_RESOURCEMANAGER->GetGlobalResourcePreFrameRootSignature()->GetInfo())
			.AddPushConstant({4,SHADER_FREQUENCY_COMPUTE });
		m_RootSignature = APP_DYNAMICRHI->CreateRootSignature(info);
		RHIComputePipelineInfo pipelineInfo = {};
		pipelineInfo.computeShader = m_Shader;
		pipelineInfo.rootSignature = m_RootSignature;
		m_Pipeline = APP_DYNAMICRHI->CreateComputePipeline(pipelineInfo);
	}

	void SVGFPass::Build(RDGBuilder& builder)
	{
		auto& [w, h] = APP_WINDOWSIZE;
		RDGTextureHandle pathTracingDirectRes = builder.GetTexture("PathTracingdirectRes");
		if (pathTracingDirectRes.ID() == UINT32_MAX) { return; }
		RDGTextureHandle pathTracingIndirectRes = builder.GetTexture("PathTracingIndirectRes");
		RDGTextureHandle velocity = builder.GetTexture("GBufferVelocity");
		RDGBufferHandle exposureData = builder.GetBuffer("ExposureData");

		RDGTextureHandle directFilterRes = builder.CreateTexture("PathTracing_SVGF_directFilterRes")
			.Exetent({ w, h ,1 })
			.Format(FORMAT_R32G32B32A32_SFLOAT)
			.AllowRenderTarget()
			.AllowReadWrite()
			.Finish();

		RDGTextureHandle forPinpongTexture = builder.CreateTexture("PathTracing_SVGF_forPinpongTexture")
			.Exetent({ w, h ,1 })
			.Format(FORMAT_R32G32B32A32_SFLOAT)
			.AllowRenderTarget()
			.AllowReadWrite()
			.Finish();


		RDGTextureHandle inDirectFilterRes = builder.CreateTexture("PathTracing_SVGF_inDirectFilterRes")
			.Exetent({ w, h ,1 })
			.Format(FORMAT_R32G32B32A32_SFLOAT)
			.AllowRenderTarget()
			.AllowReadWrite()
			.Finish();



		// 直接光
		for (int i = 0; i < 5; i++) {
			builder.CreateComputePass(GetName() + "_DirectRes" + std::to_string(i))
				.RootSignature(m_RootSignature)
				.PassIndex(i)
				.ReadWrite(1, 0, 0, i == 0 ? directFilterRes : i % 2 == 1 ? forPinpongTexture : directFilterRes)
				.ReadWrite(1, 1, 0, i == 0 ? pathTracingDirectRes : i % 2 == 1 ? directFilterRes : forPinpongTexture)
				.ReadWrite(1, 2, 0, velocity)
				.Execute([&](RDGPassContext context) {
				auto& [w, h] = APP_WINDOWSIZE;
				RHICommandListRef command = context.command;
				command->SetComputePipeline(m_Pipeline);
				command->BindDescriptorSet(context.descriptors[1], 1);
				uint32_t curIndex = context.passIndex[0];
				command->PushConstants(&curIndex, sizeof(uint32_t), SHADER_FREQUENCY_COMPUTE);
				command->BindDescriptorSet(RENDER_RESOURCEMANAGER->GetGlobalResourcePerFrameDescriptorSet(), 0);
				command->Dispatch((w + 15) / 16, (h + 15) / 16, 1);
					})
				.Finish();
		}



		// 间接光
		for (int i = 0; i < 5; i++) {
			builder.CreateComputePass(GetName() + "_DirectRes" + std::to_string(i))
				.RootSignature(m_RootSignature)
				.PassIndex(i)
				.ReadWrite(1, 0, 0, i == 0 ? inDirectFilterRes : i % 2 == 1 ? forPinpongTexture : inDirectFilterRes)
				.ReadWrite(1, 1, 0, i == 0 ? pathTracingIndirectRes : i % 2 == 1 ? inDirectFilterRes : forPinpongTexture)
				.ReadWrite(1, 2, 0, velocity)
				.Execute([&](RDGPassContext context) {
				auto& [w, h] = APP_WINDOWSIZE;
				RHICommandListRef command = context.command;
				command->SetComputePipeline(m_Pipeline);
				command->BindDescriptorSet(context.descriptors[1], 1);
				uint32_t curIndex = context.passIndex[0];
				command->PushConstants(&curIndex, sizeof(uint32_t), SHADER_FREQUENCY_COMPUTE);
				command->BindDescriptorSet(RENDER_RESOURCEMANAGER->GetGlobalResourcePerFrameDescriptorSet(), 0);
				command->Dispatch((w + 15) / 16, (h + 15) / 16, 1);
					})
				.Finish();
		}


	}

}

直接光模糊后结果

image-20251227175435193

间接光会有闪烁的情况

image-20251227175443426

滤波公式,每次滤波时都是一个联合双边滤波

img

具体的联合双边滤波有三部分组成

img

先加入法线贡献

 1
 2
 3
 4
 5
 6
 7
 8
 9
10
11
12
13
14
15
16
17
18
19
20
21
22
// 5x5 Atrous 核心 做了空洞滤波,相当于64*64的卷积核
uint curStep = 1 << curPassIndex;
for (int dy = -2; dy <= 2; ++dy) {
    for (int dx = -2; dx <= 2; ++dx) {
        ivec2 samplePos = invocID + ivec2(dx, dy) * int(curStep);

        // 边界检查
        samplePos = clamp(samplePos, ivec2(0), imgSize - 1);

        vec3 sampleColor = imageLoad(IN_COLOR, samplePos).xyz;
        // 高斯
        float gaussWeight = gaussKernel5x5[dx + 2 + (dy + 2) * 5];
        // 法线
        vec3 sampleNormal = imageLoad(NORMAL, samplePos).xyz;
        float normalWeight = pow(max(dot(normal, sampleNormal), 0.0), 128.0);

        float weight = gaussWeight*normalWeight;

        colorSum += sampleColor * weight;
        weightSum += weight;
    }
}

明显还是有问题的,因为小正方形上面和地面法线都朝上,所以贡献偏大了,阴影跑到了正方形上边

image-20251227203629144

image-20251227203940229

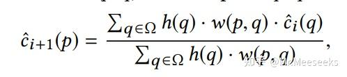
需要引入颜色差异来解决这个问题,毕竟阴影里的颜色和阴影外的最大区别就是颜色,很容易区分,另外还需要注意颜色差异是噪声造成的还是场景造成的(方差越大,越不应该作为权重评判的指标)

img

分子表示亮度差,差异越大权重越小,但差异过大也可能是噪声导致的,所以差异大并不一定表示颜色边界

所以引入方差来表示颜色的变化,方差越大,权重越大。就是越不考虑颜色差异的影响

这里的方差是指时间维度的方差,这样的话就得用MotionVector来找上一帧的位置,也就可以理解为如果一个像素位置颜色一直在变化,那它就很有可能只是噪声,就不应该用颜色差异来知道滤波,所以这一项权重就会变大

先根据一阶矩和二阶矩计算出方差

img

时间上的方差结果只用于第一次滤波,后续4次滤波用一个公式来更新方差值

img

📚 文章数: 72 ✍️ 总字数: 245.55K